A recent study by researchers at the Max Planck Institute for Infection Biology, the Institut Pasteur and the Centre International de Recherche en Infectiologie (CIRI) suggests that the spread of severe acute respiratory syndrome coronavirus 2 (SARS-CoV-2) is influenced by influenza virus infection during the initial period of coronavirus disease 2019 (COVID-19) pandemic in Europe. The study is currently available on the medRxiv* preprint server.
Since its emergence in December 2019 in China, the highly transmissible SARS-CoV-2 has been successful in infecting more than 27.99 million people worldwide and claiming 906,122 lives. Because of the unavailability of appropriate therapeutic interventions or vaccines, several preventive measures have been taken to tackle the pandemic, such as nationwide lockdown in more than 100 countries.
Regarding possible risk factors, several studies have shown that elderly people, male individuals, and people with comorbidities (cardiovascular and/or pulmonary diseases, diabetes, kidney disease, and cancer) are at higher risk of developing severe form of COVID-19, which is associated with high death rate.
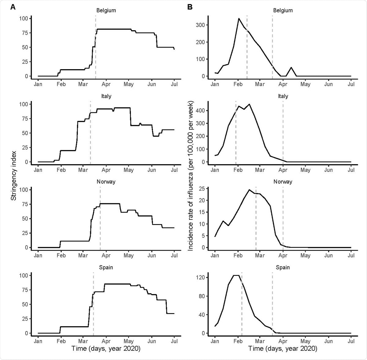
Potential drivers of SARS-CoV-2 transmission in Belgium, Italy, Norway, and Spain. A: time plot of the stringency index, a country-level aggregate measure of the number and of the strictness of non-pharmaceutical control measures implemented by governments. The vertical dashed line indicates the start of the nationwide lockdown. B: time plot of influenza incidence, calculated as the product of the incidence of influenza-like illnesses and of the fraction of samples positive to any influenza virus. The vertical dashed lines delimitate the period of overlap between SARS-CoV-2 and influenza, defined as the period between the assumed start date of SARS-CoV- 2 community transmission and 6 weeks after the epidemic peak of influenza. In each country, the time series displayed were incorporated as covariates, which modulated the transmission rate of SARS-CoV-2 in the model . In B, the y-axis values differ for each panel.

This news article was a review of a preliminary scientific report that had not undergone peer-review at the time of publication. Since its initial publication, the scientific report has now been peer reviewed and accepted for publication in a Scientific Journal. Links to the preliminary and peer-reviewed reports are available in the Sources section at the bottom of this article. View Sources
Study hypothesis
Regarding seasonal viral infections of the human respiratory tract, evidences are demonstrating that the interaction between co-circulating pathogens during a pandemic or epidemic situation can be advantageous or disadvantageous in terms of viral spread or disease severity. For example, influenza virus-induced infection has been shown to prevent respiratory syncytial virus-induced secondary infection in ferrets. In contrast, there is evidence showing that influenza infection in the respiratory tract can increase the expression of angiotensin-converting enzyme 2 (ACE2), a receptor in the respiratory epithelium that interacts with the SARS-CoV-2 spike protein and facilitate the viral entry into human cells.
Given the previous significant experience on the impact of co-existing pathogens on the spread to a pandemic, the current study scientists hypothesized that co-circulating influenza virus might have influenced the spread of SARS-CoV-2 in Europe during the initial phase of the COVID-19 pandemic.
Study design
The scientists have developed a stochastic, population-based model of SARS-CoV-2 transmission and COVID-19 related deaths. By assuming that death occurred in 1% of all infections, the scientists incorporated a representative distribution of virus generation time and duration between symptom emergence and death in their model. They also incorporated the stringency index, which is a measure of the number of control measures (lockdown, workplace/school shutdown, travel restrictions, etc.) taken by governments during the pandemic and their strictness. They evaluated the impact of the stringency index on the viral spread. The impact of influenza infection on the spread of SARS-CoV-2 was evaluated by incorporating the time-series analysis of influenza incidence into the model. The information about influenza cases of four European countries, including Belgium, Italy, Norway, and Spain, was obtained from the World Health Organization.
Syndromic ILI data (A) and virological influenza data (B) in Belgium, Italy, Norway, and Spain. In A, the red bars represent the numbers of samples positive to any influenza virus and the grey bars those negative.
Important observations
The scientists consistently observed that there was about 2 – 2.5-fold increase in SARS-CoV-2 transmission during the period when both influenza virus and SARS-CoV-2 co-existed. Regarding control measures, they found that strict implementation of control measures was associated with a reduction in viral transmission.
Based on the descriptive statistical analysis of the model-data, scientists believe that their model effectively predicted SARS-CoV-2 related morbidity and mortality during the study period.
Predictions made by the study model
Based on the model-data, the scientists predicted that people who recently have influenza infection are at higher risk of developing SARS-CoV-2 infection. This prediction is justified by the previous study observations showing higher transmissibility or susceptibility in people co-infected with influenza virus and SARS-CoV-2.
Studies investigating the frequency of polymerase chain reaction-based co-diagnosis of influenza and SARS-CoV-2 infections have shown significantly variable results. Based on the prediction made in the current study, such discrepancies in study findings may be because of differences in incubation times of the influenza virus (~ 1 day) and SARS-CoV-2 (~ 5.7 days). By the time SARS-CoV-2 reaches the detection level in the body, the influenza virus may no longer exist because of the shorter incubation time.
Another prediction they made is that people who received influenza vaccination are at a lower risk of developing SARS-CoV-2 infection. This prediction is in line with previous study findings showing that influenza vaccination is associated with lower rates of SARS-CoV-2 infection and COVID-19 related mortality.
Although the impact of influenza infection on SARS-CoV-2 transmission is clearly manifested, the current study was conducted without controlling a major confounding factor, age, which is known to impact both influenza and SARS-CoV-2 infections.
According to the scientists, this can be a potential limitation of the study. The scientists also believe that besides the influenza virus, the impact of other respiratory viruses should also be tested to obtain more comprehensive observation.
Regarding control measures, the scientists believe that the impact they observed may be specific to Europe, where both the number and intensity of control measures increased gradually during the pandemic.

This news article was a review of a preliminary scientific report that had not undergone peer-review at the time of publication. Since its initial publication, the scientific report has now been peer reviewed and accepted for publication in a Scientific Journal. Links to the preliminary and peer-reviewed reports are available in the Sources section at the bottom of this article. View Sources