Swiss data shows COVID-19 three times more deadly than the flu

The COVID-19 pandemic has caused a massive health, socio-economic, and financial crisis across the world. Without a preventive or curative solution against severe acute respiratory syndrome coronavirus 2 (SARS-CoV-2), it will continue to impact public health and life globally. Despite this, COVID-19 is often downplayed to be only a seasonal flu by many. This may be because both influenza and COVID-19 have a similar initial presentation, and it is tough to distinguish between the two based on just the clinical presentation.

Is COVID-19 similar to the seasonal influenza?

The virus's characteristics and the disease course in COVID-19 are far more serious than the flu in many aspects. Unlike the flu, SARS-CoV-2 seems to be more contagious and has a reproductive number of 2-2.5. It is contagious even when patients have no symptoms or even before they start showing symptoms.

While the common symptoms of both these infections are cough, fever, or headache, COVID-19 is more deadly in many aspects than the seasonal flu, as is evident from the toll it has taken and the number of lives it has impacted globally. COVID-19 has overwhelmed health care systems in many countries, with ICUs reaching their limits and people with other diseases unable to get treated due to limited resources. Many countries resorted to nation-wide lockdowns to slow down the spread of COVID-19, leading to an unprecedented economic breakdown. Many countries are reeling under a harsher second wave of the pandemic as we speak.

Comparing the clinical outcomes of COVID-19 and seasonal influenza

To date, only a few studies have attempted to compare the clinical outcomes of COVID-19 and influenza, and they found that underlying conditions in patients impact the disease course of both the infections. However, the small sample size of these studies makes it tough to draw tangible conclusions.

Given the significance of the comparison of seasonal influenza and COVID-19 from a public health perspective, a team of researchers from several institutions in Switzerland and Germany set out to investigate the differences in ICU admission and mortality among patients hospitalized with influenza COVID-19 disease in Switzerland. Their study is published on the preprint server medRxiv*.

As per previous estimates, nearly 5,000 patients with seasonal flu infection need hospitalization, and about 1,500 patients die due to seasonal influenza every year in Switzerland. In comparison, COVID-19 has already infected over 285,000 people in Switzerland, with 11,229 hospitalizations and 3,879 deaths as of 19th  November 2020.

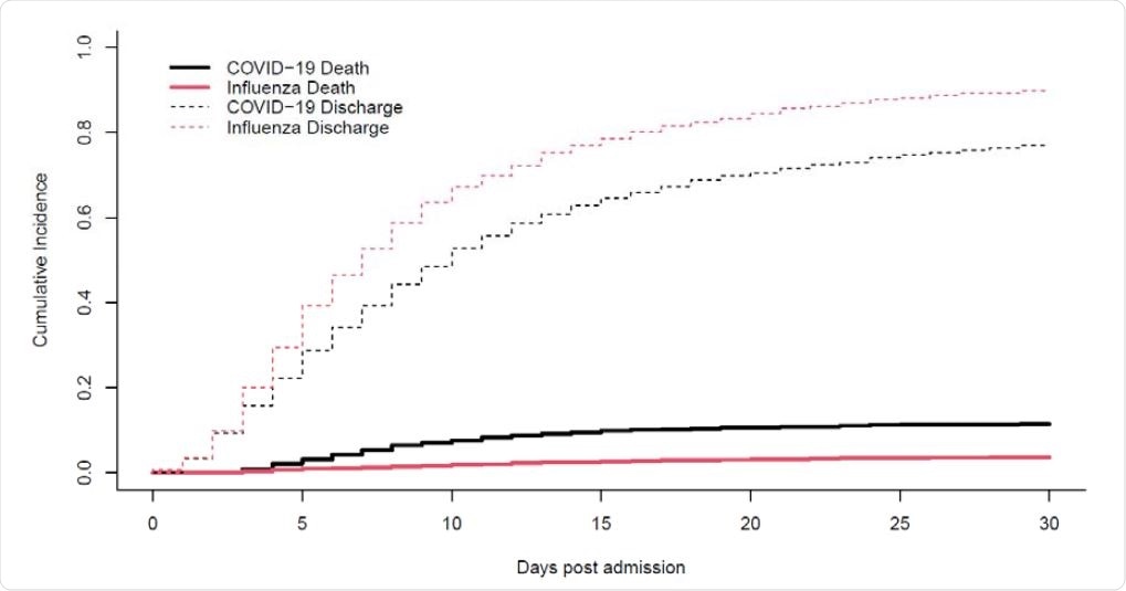
Cumulative incidence plot. Mortality with discharge as competing risk, by disease status (COVID-19 versus influenza)
Cumulative incidence plot. Mortality with discharge as competing risk, by disease status (COVID-19 versus influenza)

This news article was a review of a preliminary scientific report that had not undergone peer-review at the time of publication. Since its initial publication, the scientific report has now been peer reviewed and accepted for publication in a Scientific Journal. Links to the preliminary and peer-reviewed reports are available in the Sources section at the bottom of this article. View Sources

Differences in ICU admission and mortality among hospitalized COVID-19 and influenza patients

The study cohort included patients over 18 years of age with PCR positive COVID-19 or seasonal influenza infection and admitted to 14 participating Swiss hospitals. Primary and secondary outcomes were in-hospital mortality and ICU admission between seasonal flu and COVID-19 patients. 2,843 COVID-19 patients were included from 14 centers in 2020, while 1,361 influenza patients were recruited in 7 centers between 2018 and 2020.

The results showed that COVID-19 patients were predominantly male and were younger (median age 67 years) compared to influenza patients who were predominantly female and older (median age 74 years). The team found that 12.8% or 363 COVID-19 patients died in the hospital compared to 4.4% or 61 influenza patients who were part of the study.

Cumulative incidence plot. ICU admission with discharge and death before ICU admission as competing risk, by disease status (COVID-19 versus influenza)
Cumulative incidence plot. ICU admission with discharge and death before ICU admission as competing risk, by disease status (COVID-19 versus influenza)

COVID-19 patients had 3-fold more cumulative risk of mortality than influenza patients

This study compared the clinical outcomes of hospitalized influenza or COVID-19 patients from a Swiss surveillance database. After accounting for competing events and imbalances among patient groups, COVID-19 patients had a 3-fold more cumulative risk of mortality in-hospital compared to influenza patients. This agrees with WHO estimates of fatality rates of COVID-19 (3-4%) and seasonal influenza (0.1%).

COVID-19 patients also had an increased daily mortality risk and an increased duration of stay in hospital. Similarly, COVID-19 patients were at over 2-fold increased risk of being transferred to an ICU compared to influenza patients.

Based on these findings, the authors concluded that even in a well-equipped healthcare system with sufficient resources, COVID-19 was associated with worse outcomes than influenza, as the risk of ICU admission and in-hospital death were ~3-fold higher in COVID-19 patients.

"Even in a national healthcare system with sufficient human and financial resources, community-acquired COVID-19 was associated with worse outcomes compared to community-acquired influenza, as the hazards of in-hospital death and ICU admission were ~3-fold higher."

This news article was a review of a preliminary scientific report that had not undergone peer-review at the time of publication. Since its initial publication, the scientific report has now been peer reviewed and accepted for publication in a Scientific Journal. Links to the preliminary and peer-reviewed reports are available in the Sources section at the bottom of this article. View Sources

Sources:
Journal references:

Article Revisions

  • Mar 30 2023 - The preprint preliminary research paper that this article was based upon was accepted for publication in a peer-reviewed Scientific Journal. This article was edited accordingly to include a link to the final peer-reviewed paper, now shown in the sources section.
Susha Cheriyedath

Written by

Susha Cheriyedath

Susha is a scientific communication professional holding a Master's degree in Biochemistry, with expertise in Microbiology, Physiology, Biotechnology, and Nutrition. After a two-year tenure as a lecturer from 2000 to 2002, where she mentored undergraduates studying Biochemistry, she transitioned into editorial roles within scientific publishing. She has accumulated nearly two decades of experience in medical communication, assuming diverse roles in research, writing, editing, and editorial management.

Citations

Please use one of the following formats to cite this article in your essay, paper or report:

  • APA

    Cheriyedath, Susha. (2023, March 30). Swiss data shows COVID-19 three times more deadly than the flu. News-Medical. Retrieved on January 17, 2026 from https://www.appetitescience.com/news/20201119/Swiss-data-shows-COVID-19-three-times-more-deadly-than-the-flu.aspx.

  • MLA

    Cheriyedath, Susha. "Swiss data shows COVID-19 three times more deadly than the flu". News-Medical. 17 January 2026. <https://www.appetitescience.com/news/20201119/Swiss-data-shows-COVID-19-three-times-more-deadly-than-the-flu.aspx>.

  • Chicago

    Cheriyedath, Susha. "Swiss data shows COVID-19 three times more deadly than the flu". News-Medical. https://www.appetitescience.com/news/20201119/Swiss-data-shows-COVID-19-three-times-more-deadly-than-the-flu.aspx. (accessed January 17, 2026).

  • Harvard

    Cheriyedath, Susha. 2023. Swiss data shows COVID-19 three times more deadly than the flu. News-Medical, viewed 17 January 2026, https://www.appetitescience.com/news/20201119/Swiss-data-shows-COVID-19-three-times-more-deadly-than-the-flu.aspx.

Comments

The opinions expressed here are the views of the writer and do not necessarily reflect the views and opinions of News Medical.
Post a new comment
Post

Sign in to keep reading

We're committed to providing free access to quality science. By registering and providing insight into your preferences you're joining a community of over 1m science interested individuals and help us to provide you with insightful content whilst keeping our service free.

or

While we only use edited and approved content for Azthena answers, it may on occasions provide incorrect responses. Please confirm any data provided with the related suppliers or authors. We do not provide medical advice, if you search for medical information you must always consult a medical professional before acting on any information provided.

Your questions, but not your email details will be shared with OpenAI and retained for 30 days in accordance with their privacy principles.

Please do not ask questions that use sensitive or confidential information.

Read the full Terms & Conditions.

You might also like...
COVID-19, RSV, and flu vaccines remain safe and effective