COVID-19 was declared a global pandemic by the World Health Organization (WHO) in March 2020, and the coronavirus outbreak has since spread to over 192 countries and territories around the world, negatively impacting public health and bringing socio-economic hardship. According to a report published by the Bureau of Economic Analysis, the world's gross domestic product (GDP) fell by 4.6% in 2020. As per WHO estimates, at least 65% of the world population should be vaccinated to contain the virus's spread and achieve herd immunity.
Vaccine developers are estimated to make sufficient doses to cater to one-third of the world population by the end of 2021, most of which have already been pre-ordered by developed countries. This means lower-income, developing countries may need to wait until 2023 for the vaccine. Rich countries also have better medical infrastructure and more resources to provide vaccination to their citizens by facilitating mass vaccination programs. To better understand economic indicators and health interventions, previous studies have used measures of gross domestic product (GDP) and human development index (HDI).

This news article was a review of a preliminary scientific report that had not undergone peer-review at the time of publication. Since its initial publication, the scientific report has now been peer reviewed and accepted for publication in a Scientific Journal. Links to the preliminary and peer-reviewed reports are available in the Sources section at the bottom of this article. View Sources
Analyzing the association between HDI / GDP and COVID-19 vaccine distribution
Researchers from the US recently analyzed the association between the two macro-socioeconomics measures – HDI and GDP - and COVID-19 vaccine distribution across 25 countries until the first week of February 2021. The study is published on the preprint server medRxiv*.
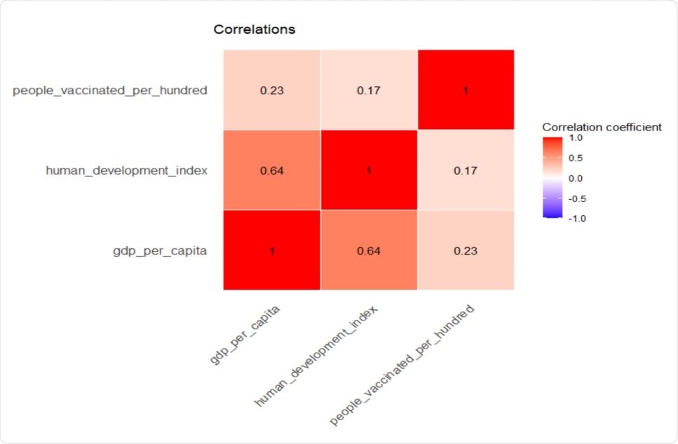
Data for this analysis was taken from the Coronavirus Pandemic data sets of Our Data in World. The site provided daily vaccination rates in various countries, GDP per capita, and HDI values such as education, life expectation, and living standard measures.

The analysis results clearly indicate that a higher GDP per capita is associated with greater COVID-19 vaccine distribution. Also, HDI was not found to have a significant relationship with vaccine distribution. Although these macro-socioeconomic measures may be considered as key indicators for vaccine distribution, other factors such as advanced health infrastructure, population size, and a centralized political system may play important roles in vaccine distribution.
"This study shows that higher GDP per capita is significantly associated with greater numbers of vaccinations; however, there was no significant relationship between HDI and vaccine distribution."

GDP is significantly associated with higher number of vaccinations, while HDI is not
This study's findings prove that higher GDP per capita is significantly associated with a higher number of vaccinations, but HDI is not associated with higher vaccine distribution. Although GDP per capita and vaccine distribution seem to have a linear relationship, UAE and Israel have greater success in vaccine distribution compared to their counterparts.
"GDP can play a vital role in people's immunization; however, some countries with a lower GDP per capita still have a better performance."
According to the authors, these differences can be attributed to their priorities, health policies, and other medical interventions beyond this study's scope. Norway, which has a high GDP per, capita has a relatively lower vaccination distribution, which can be associated with concerns other than medical facilities.

Findings highlight key implications of the relationship between vaccine distribution and socio-economic determinants
The above findings imply that GDP may be a more crucial socio-economic measure than HDI to consider during a pandemic. Higher GDP can support the production, testing, and distribution of vaccines more than HDI. The authors concluded that a more comprehensive assessment of the relationship between HDI and vaccine distribution is needed.
By highlighting the important implications of the relationship between vaccine distribution and socio-economic determinants, this work makes a vital contribution to COVID-19 research. Interestingly, it also shows that although GDP plays a key role in immunization, some countries with a lower GDP still perform better with respect to vaccine distribution. According to the researchers, more studies in the future should focus on the hidden factors that could explain what other elements can speed up vaccine distribution.
"We can conclude that with a longer duration of time, we may have a more comprehensive assessment between HDI and vaccine distribution."

This news article was a review of a preliminary scientific report that had not undergone peer-review at the time of publication. Since its initial publication, the scientific report has now been peer reviewed and accepted for publication in a Scientific Journal. Links to the preliminary and peer-reviewed reports are available in the Sources section at the bottom of this article. View Sources