While several severe acute respiratory syndrome coronavirus 2 (SARS-CoV-2) vaccines have made it possible to predict the eventual defeat of the COVID-19 pandemic, disinfection and prevention strategies remain essential factors in containing the spread of disease.
Since the end of the 1800s, Ultra-violet (UV) light has been widely documented for its germicidal properties. The UV-C light produced by low-pressure mercury tubes is widely used for disinfecting wastewater, closed environments, and biological products and is well-established, safe, and economical. UV light can have a germicidal effect on bacteria and viruses.
Due to the potential for UV rays to be used for virucidal effects, researchers from Italy have undertaken an in-depth analysis for this purpose, looking at discrete wavelengths such as UV-C (278 nm), UV-B (308 nm), UV-A (366 nm) and violet (405 nm) on the SARS-CoV-2 virus.
UV light
UV-C light can be seen as being important for depleting viral infections. However, while it has been shown to be highly sensitive to the severe acute respiratory syndrome coronavirus 2 (SARS-CoV-2) infection, the results are varied which may be due to the number of variables involved in the research.
Additionally, this strand of UV light, which is emitted by the sun, is actually blocked by the ozone layer in the stratosphere. However, UV-A and UV-B radiations do reach the earth’s surface with differing concentrations depending on factors such as the season, latitude, and weather conditions.
There has been much research into solar UV-A and UV-B radiation use against microorganisms as well as discussions of seasonal behavior in infectious diseases. This can be seen as significant as recent predictive models have suggested that the SARS-CoV-2 virus is solar-sensitive, which provides the researchers of this study a strong backing due to the missing data on possible virucidal effects of UV-A and UV-B light on SARS-CoV-2.
A pre-print version of their research paper is available on the medrxiv* server, while the article undergoes peer review.
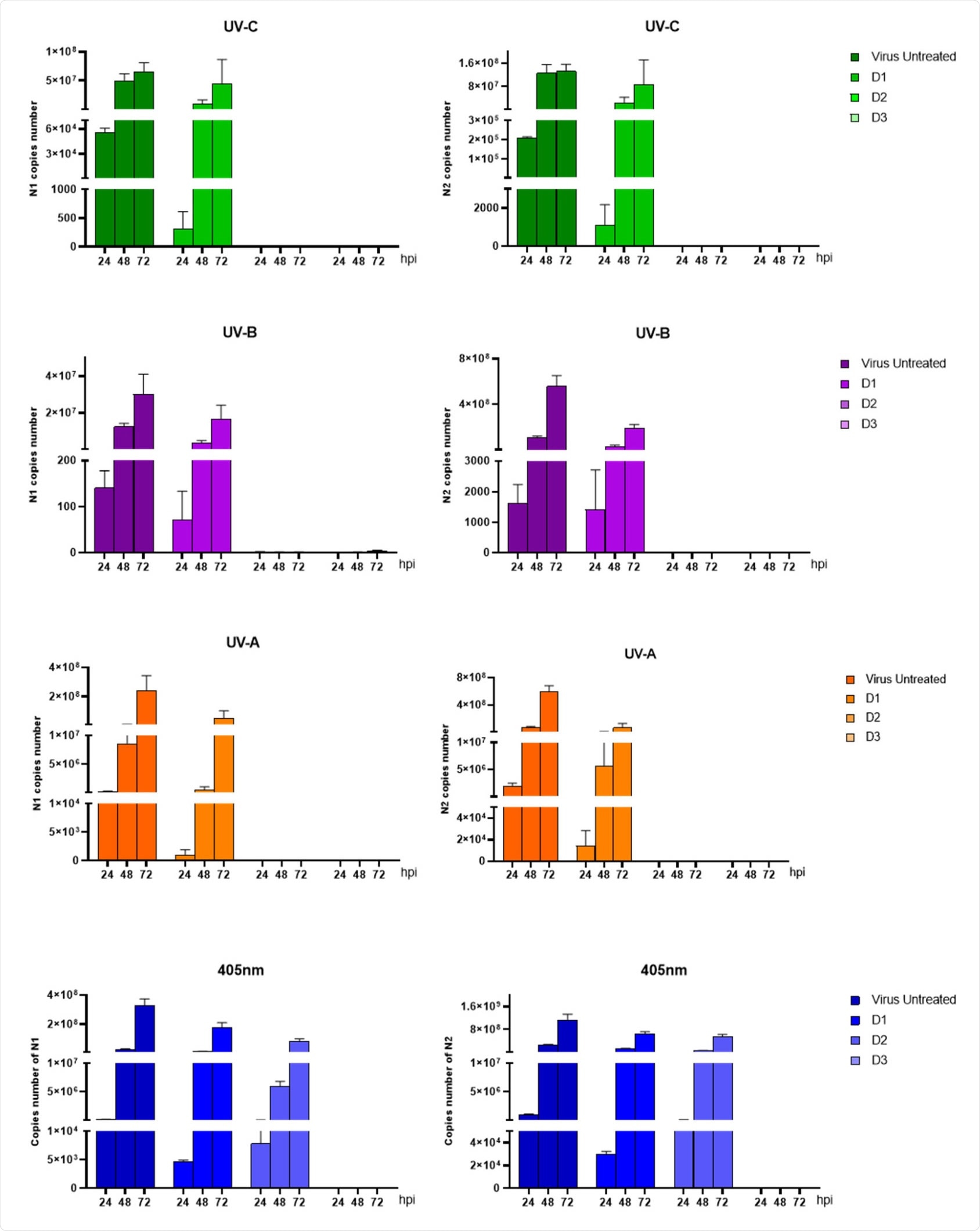
Viral replication of UV-irradiated SARS-CoV-2 (1,5x106 TCID50) in the supernatant of in vitro infected VeroE6 cells. Vero E6 cells were infected with SARS-CoV-2 irradiated with different doses (D1, D2, D3) of UV-A, -B, -C and violet light. Culture supernatants were harvested at the indicated times (24, 48 and 72 hpi) and virus titers were measured by absolute copy number quantification (Real-Time PCR). All cell culture conditions were seeded in quadruplicate. Mean values ±SEM are shown.

This news article was a review of a preliminary scientific report that had not undergone peer-review at the time of publication. Since its initial publication, the scientific report has now been peer reviewed and accepted for publication in a Scientific Journal. Links to the preliminary and peer-reviewed reports are available in the Sources section at the bottom of this article. View Sources
The study
The researchers utilized the process of irradiating the SARS-CoV-2 virus and then using the TCID50 approach to quantify the efficacy of different wavelengths in inactivating the virus.
Polymerase chain reaction (PCR) tests and fluorescence in-situ hybridization (FISH) measurements were also used to identify the UV-A and UV-B doses, which completely inhibited the viral concentration.
Specifically, the qPCR was used to evaluate the replicating ability of the irradiated virus, while FISH was used to quantify the ability of different UV doses to prevent the infectivity of the virus at a single-cell level.
The results were compared to the viral infection present in the sputum of COVID-19 patients as well as with previous literature on UV light used for other viruses and bacteria.
The data provided in the pre-print paper also confirm that UV-C is more effective in viral inactivation compared to UV-A and UV-B light, which can be useful for fast inactivation of the SARS-CoV-2 virus. Nevertheless, UV-A and UV-B are also able to reduce viral infections, but at higher doses than UV-C.
Significance for COVID-19
The scientists in Italy have provided more information on the effect that UV light has on the SARS-CoV-2 virus, with UV-C having a higher effect than previously thought.
UV-A and UV-B also have virucidal effects, however, the scientists were able to illustrate their effectiveness for the first time on the SARS-CoV-2 virus.
According to the researchers, the SARS-CoV-2 virus works seasonally, with a reduction in infection rates in the summer and a peak in the winter. In the future, UV-A and UV-B doses may be used at higher levels to achieve similar disinfecting effects to UV-C, as well as more applications such as inactivating viruses.
With the COVID-19 pandemic ongoing, reducing viral transmission in any way possible is always advantageous for decreasing overall viral infection rates.

This news article was a review of a preliminary scientific report that had not undergone peer-review at the time of publication. Since its initial publication, the scientific report has now been peer reviewed and accepted for publication in a Scientific Journal. Links to the preliminary and peer-reviewed reports are available in the Sources section at the bottom of this article. View Sources
Journal references:
- Preliminary scientific report.
Biasin, M., Strizzi, S., Bianco, A., Macchi, A., Utyro, O., Pareschi, G., Loffreda, A., Cavalleri, A., Lualdi, M., Trabattoni, D., Tacchetti, C., Mazza, D. and Clerici, M., 2021. UV-A and UV-B Can Neutralize SARS-CoV-2 Infectivity, medRxiv 2021, https://www.medrxiv.org/content/10.1101/2021.05.28.21257989v1
- Peer reviewed and published scientific report.
Biasin, Mara, Sergio Strizzi, Andrea Bianco, Alberto Macchi, Olga Utyro, Giovanni Pareschi, Alessia Loffreda, et al. 2022. “UV and Violet Light Can Neutralize SARS-CoV-2 Infectivity.” Journal of Photochemistry and Photobiology 10 (June): 100107. https://doi.org/10.1016/j.jpap.2021.100107. https://www.sciencedirect.com/science/article/pii/S2666469021000920?via%3Dihub.