This article and associated images are based on a poster originally authored by Philip Rawlins, James Craswell, Carmina Micelli, Tayo Alleyne-Weir, Andrew Ratcliffe, and Trevor Askwith and presented at ELRIG Drug Discovery 2025 in affiliation with Domainex Ltd.
This poster is being hosted on this website in its raw form, without modifications. It has not undergone peer review but has been reviewed to meet AZoNetwork's editorial quality standards. The information contained is for informational purposes only and should not be considered validated by independent peer assessment.

Introduction
- Effective molecular glue hit identification relies on assays that detect ternary complex formation, rather than simple 1:1 binding interactions
- Cellular glue-degrader methods such as HiBiT often yield artifacts and toxicity, making triage slow and costly
- Domainex has developed hit-finding strategies leveraging biochemical and biophysical assays for ternary complex formation, enabling high- and medium-throughput screening ideally suited for discovering novel molecular glues
- This cascade is suitable for routine Design-Make-Test cycles as well as detailed compound characterization
- We have validated this cascade for compatibility with our Direct-to-Biology (D2B) reaction chemistry platform for hit finding and rapid hit expansion
Hit finding/screening cascade

Image Credit: Image courtesy of Philip Rawlins et al., in partnership with ELRIG (UK) Ltd.
High-throughput hit finding: > 50,000 samples/day
Medium throughput screening & fragment hit finding: Up to 3,000 samples/day
Determination of binding kinetics & fragment hit finding: Up to 200 samples/day
Label-free ternary complex formation: < 10 samples/day
Hit finding & co-operativity determination

Figure 1. Compound EC50 determination of ternary complex formation via an AlphaLISA assay. Image Credit: Image courtesy of Philip Rawlins et al., in partnership with ELRIG (UK) Ltd.

Figure 2. NanoTemper spectral shift assay showing ∼50-fold enhancement (α = 51.4) of a weak protein-protein interaction by a molecular glue compound (red) vs. DMSO control (black). Image Credit: Image courtesy of Philip Rawlins et al., in partnership with ELRIG (UK) Ltd.
- Proximity-based readouts AlphaLISA and HTRF are ideal assays for hit finding and routine SAR
- Energy transfer between two fluorescently labeled molecules/beads
- Molecular glue activity results in a signal increase, resulting in fewer false positives
- Spectral shift monitors subtle changes in the emission profile of a fluorescently labeled molecule
- Highly sensitive technique and quick assay development (typically < one week)
- Ideal for medium throughput hit finding (e.g., fragments) and routine Design-Make-Test (DMT)
Label-free orthogonal methods
- Orthogonal methods are essential for hit deconvolution
- Label-free methods such as SPR/GCI and mass photometry suffer few assay artifacts and are therefore ideal for hit deconvolution
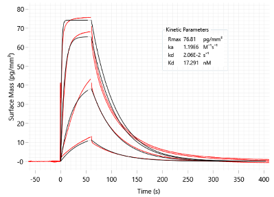
A) SPR/GCI

Figure 1. Ternary complex formation via GCI demonstrating concentration-dependent binding and kinetic traces. Image Credit: Image courtesy of Philip Rawlins et al., in partnership with ELRIG (UK) Ltd.
B) Mass photometry

Figure 2. Label-free ternary complex formation via mass photometry. Image Credit: Image courtesy of Philip Rawlins et al., in partnership with ELRIG (UK) Ltd.
- SPR/GCI can determine the affinity and stability (kinetics) of both the binary and ternary complex interactions
- Resistant to fluorescence interference
- Real-time measurements enable kinetic parameter determination
- Mass photometry detects light interference between scattered and reflected signals to determine molecular mass
- Completely label-free
- Low concentrations
- Samples are measured in solution
‘Cutting out the middle-man’ D2B compatibility
D2B: Advantages of screening unpurified reaction mixtures
- High-speed synthetic cycle times (days vs weeks)
- Reduced reagent and solvent consumption
- 75 mg of a scaffold can deliver 1000 compounds
- Reactions validated in 384-well plates
- Compatible with Spectral Shift & GCI assays

Image Credit: Image courtesy of Philip Rawlins et al., in partnership with ELRIG (UK) Ltd.
In an A2a (GPCR) hit expansion campaign, the above plate-based reactions were compatibility tested for spectral shift interference

Image Credit: Image courtesy of Philip Rawlins et al., in partnership with ELRIG (UK) Ltd.
- A2a (GPCR) labeled with an NTA dye
- Unpurified plate-based reaction mixtures profiled at 50 µM
- Control (C) Theophylline at 50 µM
- Amine Coupling Reactions (ACR) and Reductive Amination Reactions (RAR) display minimal interference at 50 µM screening concentrations and are compatible
- The Pd-based cross-coupling reactions in Suzuki-Miyaura (SR) and Buchwald-Hartwig (BR) show significant interference at 50 µM screening concentrations and are incompatible with spectral shift screening at this concentration
Conclusions
- We have developed a screening cascade suitable for the identification of novel molecular glue compounds
- Detailed orthogonal techniques, such as SPR/GCI and mass photometry, are ideal for hit confirmation and enable detailed label-free characterization
- Spectral shift compatibility with D2B enables rapid hit finding and/or hit expansion
About Domainex
Domainex is a fully integrated drug discovery CRO based near Cambridge, UK. It serves pharmaceutical, biotechnology, academic and patient foundations globally. Domainex’s drug discovery service business was established in 2001 and since that time has continued to expand to serve a wider range of international clients including UCB, FORMA Therapeutics, St George’s University, and The Institute of Cancer Research.
About ELRIG (UK) Ltd.
The European Laboratory Research & Innovation Group (ELRIG) is a leading European not-for-profit organization that exists to provide outstanding scientific content to the life science community. The foundation of the organization is based on the use and application of automation, robotics, and instrumentation in life science laboratories, but over time, we have evolved to respond to the needs of biopharma by developing scientific programs that focus on cutting-edge research areas that have the potential to revolutionize drug discovery.
Comprised of a global community of over 12,000 life science professionals, participating in our events, whether it be at one of our scientific conferences or one of our networking meetings, will enable any of our community to exchange information, within disciplines and across academic and biopharmaceutical organizations, on an open access basis, as all our events are free of charge to attend!
Our values
Our values are to always ensure the highest quality of content, that content will be made readily accessible to all, and that we will always be an inclusive organization, serving a diverse scientific network. In addition, ELRIG will always be a volunteer-led organization, run by and for the life sciences community, on a not-for-profit basis.
Our purpose
ELRIG is a company whose purpose is to bring the life science and drug discovery communities together to learn, share, connect, innovate, and collaborate on an open-access basis. We achieve this through the provision of world-class conferences, networking events, webinars, and digital content.
Sponsored Content Policy: News-Medical.net publishes articles and related content that may be derived from sources where we have existing commercial relationships, provided such content adds value to the core editorial ethos of News-Medical.net, which is to educate and inform site visitors interested in medical research, science, medical devices, and treatments.
Last Updated: Jan 6, 2026